工冠(上海)機電設備有限公司提供的電流傳感器,具備精度高、溫度穩定性好等一系列顯著優點。它使用了先進新型磁調制零磁通技術,工作原理不同于傳統霍爾電流傳感器,具備新特性,使用中需注意的事項如下。
一、 量程和最大測量能力、功耗、供電電壓
傳感器的量程指的是額定測量電流,具體值見對應型號的說明書。在負載電阻取值、供電電壓符合要求的情況下,傳感器在任何正常工作溫度等條件下,均可具備滿量程的測量能力。過載能力指的是傳感器在限定時間范圍內,可達到的測量能力。傳感器的最大測量能力,指的是理想情況下,能夠達到的絕對最大能力。最大測量能力可能受限于內部功率管的容量,實際上只能短時間采用。極短時間的脈沖電流測量,不受最大測量能力的限制。

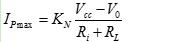
傳感器的最大測量能力如下公式一所示
公式一

其中,IPmax為最大原邊可測電流(直流電流或交流電流的峰值),KN為原邊-副邊電流變比,Vcc為電源供電電壓,V0為內部預留的電壓,一般取3V。
RL為負載電阻,Ri為內部線圈的內阻。
由公式1可以看出,在KN固定的情況下,最大可測電流與電源電壓Vcc正相關,與電阻RL、Ri負相關。
線圈內阻Ri受溫度的影響入下公式所示:
公式二 Ri= Ri0[1+(T-25) α]
其中,Ri0 為線圈在25℃下的內阻,T為線圈溫度,α為銅的溫度系數,α=0.004
隨著溫度上升,線圈內阻會增大,導致最大測量能力下降。
傳感器工作時消耗的電流為:
公式三 IS =ISO +IP/KN
其中,ISO 為原邊電流IP=0 時,傳感器消耗的電流。
傳感電路的總功耗(包括傳感器和負載電阻的功耗)
公式4 P=VccIS
傳感器內的功耗,主要是內部線圈和功率管的消耗,其中功率管的消耗會產生熱量,導致溫升,極端情況下可能會引起功率管過熱,導致壽命下降甚至過熱損壞。
為避免能量浪費、效率下降和加重功率管負擔,應盡可能取滿足最大測量能力的最低電源電壓,尤其是傳感器工作于高溫環境下。說明書內的電源電壓給出的值可滿足給定量程,如果最大測量值明顯低于量程,供電電壓可適當降低,如15V供電的傳感器,最低工作電壓為10V,建議取12V以上。18~24V供電的傳感器,最低工作電壓為18V,請勿進一步下降。
如果需要增大傳感器的測量能力,電源電壓可小幅上升,如15V供電的傳感器可提升為最高18V,但此時需注意,功率管上的功耗需嚴格控制。
二、 過量程保護和自恢復功能
磁調制式傳感器不同于傳統的霍爾電流傳感器,后者在超過最大測量能力的情況下,可達到并保持在磁飽和狀態,即停留在最大輸出位置。而磁調制式傳感器只能工作于零磁通狀態,在超過最大測量能力的情況下,即處于非零磁通狀態時,并不能停在最大輸出位置。此時觸發內部自恢復功能使得輸出進入掃描狀態,輸出與輸入完全無關。此時,Valid指示燈熄滅。原邊電流一旦恢復到量程內,自恢復功能會使傳感器馬上會進入正常工作狀態(一般時間為百毫秒量級)。
為避免上述情況出現,可通過負載電阻RL與兩個反串的齊納二極管或雙向TVS管并聯,當RL上的電壓達到二極管的反向導通電壓后,二極管導通分流,相當于一個可變電阻,此時,傳感器的輸出電壓可停留在最大輸出電壓的位置。
上述做法是有限度的,即RL并聯二極管的總阻值不可能低至0,超過公式1決定的最大測量能力,內部仍然會進入掃描狀態。請盡量避免此狀態出現,如果不能避免,此狀態下應中斷測量。
除超過量程外,正負供電電源上電不同步、單路電源掉電等因素均可能觸發自恢復功能。
三、精度考慮
傳感器的輸出精度,與負載電阻RL有關系,尤其是測量交流情況下。一般來說,RL值越小,測量精度越高。一般應使RL上的電壓不超過3V。
電流母線請盡可能位于測量孔徑中心位置,利于精度提升,雖然偏離中心造成的精度下降遠遠低于霍爾電流傳感器,但仍有一定程度下降。
傳感器的輸出精度會受到溫度的影響,但對磁調制式電流傳感器來說,溫度的影響很小,說明書標注的精度為全溫區精度。
四、 頻率特性
該類傳感器在2KHz以內,可獲得很高精度的測量結果。隨著頻率繼續提升,精度下降的速度加快,同時,最大測量能力也會隨之下降。如果測量高頻交流電流,需注意傳感器量程的頻率降額特性。
磁調制傳感器在調制頻率處,會有一定的紋波,一般在2~20uArms左右,對小電流輸入信號的測量精度會產生一定的影響。